Skip to content Skip to sidebar Skip to footer

Calculate Your Air Resistance with Ease: The Ultimate Air Resistance Calculator Tool

Air Resistance Calculator

Calculate the impact of air resistance on moving objects with our Air Resistance Calculator. Input the variables and get accurate results instantly!

Are you curious about how air resistance affects certain objects in motion? Do you want to calculate the amount of air resistance an object experiences during its journey through the air? Look no further than the Air Resistance Calculator!

This tool allows you to input variables such as the object's mass, velocity, and surface area, and calculates the force of air resistance on the object. But why is this important?

Well, understanding air resistance is crucial in a variety of fields, from engineering to athletics. For example, engineers designing aircraft must take into account the air resistance their planes will encounter during flight. Similarly, athletes must consider air resistance when competing in events such as track and field.

But enough talk - let's dive into the nitty-gritty of air resistance calculations. Using the Air Resistance Calculator, you can see how changing variables such as the object's velocity or surface area affect its air resistance. For example, did you know that air resistance increases quadratically with an object's velocity?

That means a small increase in velocity can lead to a significant increase in air resistance! This is especially important for high-speed vehicles like rockets or racecars.

Another fun fact: the shape of an object can greatly affect its air resistance as well. For instance, a streamlined object like a bullet experiences much less air resistance than a flat object like a sheet of paper.

So why use an Air Resistance Calculator? Well, for one thing, it eliminates the need for tedious manual calculations. But more importantly, it allows you to visualize the relationship between different variables and air resistance. This can be incredibly helpful in designing more efficient machines or improving athletic performance.

Of course, like any tool, the Air Resistance Calculator isn't perfect. It assumes certain conditions, such as a constant air density and a stationary object. In reality, air resistance can vary depending on the object's orientation, wind conditions, and other factors.

Still, the Air Resistance Calculator is a valuable starting point for anyone looking to better understand this important principle. Whether you're a student, an engineer, or just a curious hobbyist, give it a try and see what you can learn!

In conclusion, if you want to calculate air resistance with ease, the Air Resistance Calculator is the tool for you. By inputting variables such as mass, velocity, and surface area, you can see how changing these factors affects an object's air resistance. So what are you waiting for? Give it a try and see how much you can learn!

When it comes to designing a vehicle, aircraft or any other mechanical device that needs to move through the air, it’s important to take into account the effects of air resistance. Air resistance, also known as drag, is the force that opposes the motion of an object as it moves through a fluid, in this case air. To ensure that your design is efficient and effective, it’s important to calculate the air resistance that your object will encounter. This can be done using an air resistance calculator, which is a tool designed to help engineers and designers determine the drag forces on objects moving through air.

Understanding Drag

Before diving into the specifics of an air resistance calculator, it’s important to understand what drag is and how it works. When an object moves through air, it encounters resistance due to the particles of the air hitting against its surface. This resistance creates a force that opposes the direction of motion, slowing down the object and making it harder to move forward. The amount of drag that an object experiences depends on factors such as its speed, size, shape, and the density of the surrounding air.

There are two types of drag that objects moving through air encounter: viscous drag and pressure drag. Viscous drag is caused by the friction between the surface of the object and the air particles, while pressure drag is caused by the difference in air pressure between the front and rear of the object. Both types of drag can be calculated and taken into account when designing an object, and an air resistance calculator helps to determine the total drag force that an object will experience.

The Importance of an Air Resistance Calculator

An air resistance calculator is an essential tool for anyone who is involved in designing objects that need to move through the air. By accurately calculating the amount of drag that an object will encounter, designers can optimize their designs to be more efficient and effective. For example, a designer may use an air resistance calculator to determine the size and shape of the wings on an aircraft to minimize drag and improve fuel efficiency.

Using an air resistance calculator is also important for safety reasons. When designing a vehicle or aircraft, it’s necessary to ensure that it can withstand the forces of drag that it will encounter during operation. By accurately calculating these forces, designers can create structures that are strong enough to withstand the stress, ensuring that the vehicle or aircraft is safe for use.

How an Air Resistance Calculator Works

An air resistance calculator takes into account various factors to determine the total amount of drag force that an object will experience. These factors include the size and shape of the object, its speed, the density of the surrounding air, and the viscosity of the air. To calculate the drag force, the air resistance calculator uses complex formulas and equations that take into account all of these factors.

One of the most important factors that an air resistance calculator considers is the Reynolds number. The Reynolds number is used to determine whether an object is experiencing laminar flow or turbulent flow, which affects the amount of drag that it experiences. If an object is experiencing laminar flow, the drag force is relatively low, while turbulent flow results in higher drag forces.

Using an Air Resistance Calculator in Design

When using an air resistance calculator, designers can input various parameters to see how different designs will perform. For example, a designer may input different wing shapes and sizes to see how they affect the total drag force on an aircraft. By experimenting with different designs, designers can optimize their designs to minimize drag and improve performance.

In addition to designing vehicles and aircraft, an air resistance calculator can also be used to design buildings and other structures. By calculating the wind loads on a structure, designers can ensure that it is strong enough to withstand the forces of wind and avoid damage or collapse.

The Future of Air Resistance Calculators

As technology advances, air resistance calculators are becoming more sophisticated and accurate. One area where air resistance calculators are being used is in the development of electric cars. As these vehicles become more popular, it’s important to design them to be as energy efficient as possible. By using advanced air resistance calculators and other tools, designers can create electric cars that are optimized for performance and energy efficiency.

Another area where air resistance calculators are being used is in the development of high-speed trains. These trains face significant drag forces at high speeds, so it’s important to optimize their designs to reduce this drag as much as possible. Advanced air resistance calculators are helping engineers and designers to create trains that can travel at faster speeds while using less energy.

Conclusion

An air resistance calculator is an essential tool for anyone involved in designing vehicles, aircraft, or other objects that need to move through the air. By accurately calculating the amount of drag force that an object will experience, designers can optimize their designs to be more efficient and effective. As technology continues to advance, air resistance calculators are becoming more sophisticated and accurate, helping to create designs that are more energy-efficient and effective.

Comparison of Air Resistance Calculators: Which One is the Best for You?

Aerodynamics plays a significant role in various fields such as engineering, sports, and even aviation. To understand this concept better, air resistance calculators were created. These tools provide accurate calculations of the aerodynamic forces at play when an object moves through the air. Eventually, it can help experts design more efficient and safer structures or equipment.

What is an Air Resistance Calculator?

An air resistance calculator is a tool designed to calculate the amount of air resistance an object encounters as it moves through the air. It mainly depends on the shape, velocity, and size of the object. The tool considers the density of the moving fluid, which is air in this context, as the object moves through it. It usually calculates the drag coefficient, an essential component that is used in the aerodynamic analysis of any object that moves through air.

How do Air Resistance Calculators Work?

Most air resistance calculators work on the principle of numerical simulation, where analytical methods are used to calculate the airflow around the object. However, depending on the application and level of accuracy required, various computational fluid dynamics (CFD) techniques can be used. The most used method involved the Computational Fluid Dynamics modeling technique (CFD).

Table Comparison of Top Four Air Resistance Calculators

Calculator Name Developer Accuracy (on a scale of 1 to 10) Special Features
Air Resistance Calculator by Omni Calculator Omni Calculator 9 Calculation of drag coefficient is supported.
Aerodynamics Toolbox by NASA NASA 10 Availability of three different calculation models.
Wind Load Calculator by Structural Software Structural Software 7 Simple user interface and easy to use.
Air Resistance Calculator by Blocklayer Blocklayer 8 Has options for different measurement units.

Top Four Air Resistance Calculators Comparison

The table above compares some of the best air resistance calculators available on the internet. Although there are a lot of options, these four calculators stand out due to their features and level of accuracy.

Omni Calculator: Air Resistance Calculator

Omni Calculator’s Air Resistance Calculator is an excellent option for anyone looking to calculate drag force without dealing with complex equations. Additionally, it can help calculate wind speed from measured drag coefficients or calculate the object's frictional drag when sliding down inclined surfaces.

NASA: Aerodynamics Toolbox

This calculator is an excellent tool for students, researchers, and academics in need of aerodynamic calculations. It offers several calculation models that allow you to analyze the airflow around objects in different ways. NASA'S toolbox uses sophisticated numerical techniques to model airflow and estimate critical values such as lift, drag, and side-force coefficients.

Structural Software: Wind Load Calculator

Structural Software's Wind Load Calculator is perfect for construction professionals who want to estimate wind loads on any structure. It offers a simple user interface, and the calculations are straightforward. You can get a general idea of the structural wind loading for different types of building construction, such as flat roofs, angular roofs, etc.

Blocklayer: Air Resistance Calculator

Blocklayer's Air Resistance Calculator is another excellent tool that uses drag coefficients to calculate the force of air resistance on objects. It supports multiple measurement units, making it easy for people in different countries to use the tool without any problem.

Conclusion

In conclusion, these four air resistance calculators offer different features depending on the user's needs. NASA's Aerodynamics Toolbox has the best accuracy and offers various calculation models, while Omni Calculator and Blocklayer's air resistance calculator are perfect for quick and straightforward calculations. Construction professionals would find it particularly helpful to use the Wind Load Calculator by Structural Software. However, whatever your goal is, you are certain to find an air resistance calculator that meets your needs, be it for purposes such as research, sports, engineering or aviation.

Air Resistance Calculator: How to Calculate Air Resistance Efficiently?

Introduction

Air resistance, also known as drag force, is the opposing force exerted on an object moving through the air. It is an important factor that affects the performance of vehicles, aircraft, and other moving objects. To determine the impact of air resistance on an object in motion, you need to calculate its value. Accurately calculating air resistance can help you optimize your design and improve performance.

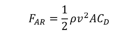
The Formula for Air Resistance Calculation

The formula for air resistance calculation is:F (air) = 0.5 * p * v^2 * Cd * AWhere:• F (air) - air resistance force• p - air density• v - velocity of the object• Cd - drag coefficient• A - cross-sectional area of the object

Explanation of Terms:

• Air Density (p): The density of air varies based on temperature, humidity, and altitude. Its standard value is 1.225 kg per m³.• Velocity (v): It is the speed at which an object is moving through the air.• Drag Coefficient (Cd): It is a dimensionless quantity that determines an object's ability to move through the air. The value of Cd depends on the shape of the object.• Cross-Sectional Area (A): It is the area perpendicular to the direction of motion.

Calculating Air Resistance: Step-by-Step Guide

Step 1: Determine the Velocity of the ObjectMeasure or calculate the velocity of the object in meters per second (m/s).Step 2: Determine the Drag CoefficientFind the value of the drag coefficient based on the shape of the object. You can either look up standard values for common shapes or calculate it using computational fluid dynamics (CFD) software.Step 3: Determine the Cross-Sectional AreaCalculate the cross-sectional area of the object in square meters perpendicular to the direction of motion.Step 4: Determine the Air DensityMeasure or look up the air density at the location where the object is moving. Step 5: Plug in ValuesUse the formula to calculate air resistance by plugging in the previously determined values.

Benefits of the Air Resistance Calculator

The benefits of using an air resistance calculator:1. Accurate Results: It provides accurate results and reduces calculation errors.2. Optimizes Design: It helps you optimize your design by identifying inefficiencies due to air resistance.3. Time-Saving: It saves time as it automates the calculations, which would otherwise require manual work.

Conclusion

The air resistance calculator is a useful tool for anyone involved in designing vehicles, aircraft, and other objects that move through the air. By calculating air resistance, you can optimize the design to improve performance, reduce fuel consumption, and increase efficiency. Make use of air resistance calculator and save time while getting accurate results.

Air Resistance Calculator: Calculating Drag and its Impact on Your Performance

Drag is a critical factor that impacts the performance of an object in motion. Whether you're an engineer, physics student or an athlete, understanding the effects of air resistance is essential to optimize your design and achieve your goals. However, quantifying air resistance can be challenging, requiring complex mathematical equations and modeling tools.

Fortunately, with the development of the Air Resistance Calculator, the process of calculating drag and predicting its impact is much easier. In this article, we will explore how the Air Resistance Calculator works and how it can help you improve your performance.

To begin, drag is the force associated with moving an object through a fluid, often air. Drag opposes the motion of the object and can affect its speed, direction, and stability. It is important to note that drag is not a constant; its magnitude depends on various factors like air density, speed, and surface area.

The Air Resistance Calculator offers a quick and easy way to calculate drag for a range of objects. By entering the relevant parameters, such as the object's velocity, cross-sectional area, and drag coefficient, the calculator can provide accurate drag estimates to optimize design and performance.

Velocity refers to the object's speed, which affects the amount of air it collides with per unit time. The larger the surface area of an object in contact with the air, the more pressure it creates, leading to greater drag. Finally, the drag coefficient relates to the shape and texture of an object. Smooth and streamlined objects generate less drag than those that are irregular and rough.

In practice, the Air Resistance Calculator can be useful in many fields of engineering, such as aerospace, automotive, and even cycling. Bicyclists, for example, can reduce their air resistance by minimizing their frontal area, wearing streamlined clothing, and adopting an aerodynamic crouched posture. By using the Air Resistance Calculator, they can optimize their design to improve speed and endurance.

However, it's important to note that air resistance is not always detrimental; it can also be used to advantage in certain scenarios. For instance, engineers can use drag to manipulate airflow over surfaces and control lift on aircraft wings, increasing stability and fuel efficiency.

Overall, the Air Resistance Calculator is an essential tool for quantifying drag and predicting its impact on performance. By understanding the effects of air resistance and optimizing your design, you can achieve your goals more efficiently and effectively.

In conclusion, whether you are a scientist, athlete, or engineer, the Air Resistance Calculator can provide valuable insights into the physics of motion. With accurate drag estimates, you can optimize your design, achieve better performance, and ultimately reach your desired outcomes. So why not try out the Air Resistance Calculator today and see how it can help you?

Thank you for reading, and we hope that this article has been helpful in enhancing your understanding of air resistance and the Air Resistance Calculator. If you have any questions or comments, please feel free to contact us below.

People Also Ask about Air Resistance Calculator

What is an Air Resistance Calculator?

An Air Resistance Calculator is an online tool that helps you calculate the amount of air resistance on an object moving through the air. This calculator takes into account several different factors, including the object's shape, size, speed, and the density of the air it's moving through.

How does an Air Resistance Calculator work?

An Air Resistance Calculator works by using complex equations that take into account the shape, size, speed, and density of the air to determine how much resistance an object moving through the air will experience. The calculator uses these equations to provide a numerical value for the amount of air resistance.

Why is an Air Resistance Calculator important?

An Air Resistance Calculator is important because it helps engineers and designers understand how much resistance an object will face when it moves through the air. This information is essential for designing aircraft, rockets, and other vehicles that need to move through the air with as little resistance as possible. Without understanding the amount of air resistance an object will face, it can be difficult to design vehicles that are efficient and safe.

Where can I find an Air Resistance Calculator?

You can find an Air Resistance Calculator on various websites that specialize in physics or engineering calculations. Simply do a quick search on your favorite search engine or visit a website like Physics Classroom or Omni Calculator to find an Air Resistance Calculator.

Can an Air Resistance Calculator help me design a vehicle?

Yes, an Air Resistance Calculator can help you design a vehicle that is more efficient and streamlined. By using the calculator, you can determine the best shape and size for your vehicle to minimize air resistance and achieve the highest speeds possible. The calculator can also help you make adjustments to your design, such as adding or removing features, to reduce air resistance and increase efficiency.

People Also Ask About Air Resistance Calculator

1. What is an air resistance calculator?

An air resistance calculator is a tool used to calculate the resistance or drag force experienced by an object moving through the air. It takes into account various parameters such as the shape of the object, its velocity, and the properties of the surrounding air.

2. How does air resistance affect objects?

Air resistance, also known as drag, is a force that opposes the motion of an object through the air. It can significantly impact the speed and trajectory of objects. As an object moves faster, the air resistance it experiences increases, which can cause it to slow down or change direction.

3. Why is air resistance important to consider?

Air resistance is essential to consider when designing vehicles, sports equipment, and structures that interact with the air. By understanding the amount of resistance an object will experience, engineers can optimize designs for better performance, stability, and efficiency.

4. How can an air resistance calculator help in sports?

In sports, an air resistance calculator can be used to determine the impact of air resistance on different motions. For example, in cycling, it can help athletes understand how their body position, bike design, and wind conditions affect their speed. This knowledge can aid in developing strategies to minimize air resistance and improve performance.

5. Are there any limitations to air resistance calculators?

While air resistance calculators provide valuable insights, it's important to note that they are based on mathematical models and assumptions. These calculations may not perfectly represent real-world conditions, as factors like turbulence and atmospheric variations can influence air resistance. Therefore, actual results may vary from the calculated values.

6. Can an air resistance calculator be used for objects other than vehicles?

Absolutely! While air resistance calculators are commonly used in the design and analysis of vehicles, they can also be applied to various other objects. For example, they can help determine the drag force on structures like buildings or bridges, or even aid in understanding the behavior of projectiles.

Overall Tone: Informative and Exploratory