Skip to content Skip to sidebar Skip to footer

Discover the Ultimate Lim Sup Calculator Tool for Accurate Mathematical Analysis

Lim Sup Calculator

Lim Sup Calculator is a handy tool to calculate the limit superior of a sequence or function. Get accurate results easily!

Lim Sup Calculator: The Ultimate Solution to Complex Calculations

Do you often struggle with complex calculations that involve limit supremum? Are you looking for an effective tool that can simplify your mathematical equations and help you achieve accurate results? Look no further than a Lim Sup calculator!

This powerful tool is designed to make your life easier, whether you're a math student or a professional who deals with these calculations regularly. With its advanced algorithms and features, you can quickly and accurately solve complex problems that were once deemed impossible.

What is Lim Sup?

Before we dive deep into the capabilities of a Lim Sup calculator, let's first understand what Lim Sup means. It is a mathematical concept that is used to define the upper bound of a sequence or a function. In simple terms, it is the largest possible limit that can be achieved by a given function or sequence.

The Significance of Lim Sup in Mathematics

Why is Lim Sup so significant in mathematics? Well, this concept has numerous applications in different branches of mathematics, including calculus, analysis, and number theory. It plays a crucial role in determining the convergence or divergence of a series, evaluating the behavior of a function at infinity, etc.

The Need for a Lim Sup Calculator

As you can see, Lim Sup is a vital component of mathematical equations. However, these calculations are often complex and time-consuming, especially when dealing with large datasets. This is where a Lim Sup calculator comes in handy. It helps you save time and eliminate errors by automating the calculation process.

Features of a Lim Sup Calculator

A Lim Sup calculator comes packed with features that make it the ultimate solution for your mathematical needs. Some of the key features are,

  • User-friendly interface: A Lim Sup calculator has a simple interface that makes it easy to use for everyone.
  • Advanced algorithms: The calculator uses advanced algorithms that ensure accurate results every time.
  • Multiple functions: You can use the calculator to evaluate Lim Sup for various mathematical functions.
  • Real-time updates: The calculator provides real-time updates as you input your data, making it easy to spot any errors and correct them.

How to Use a Lim Sup Calculator

Using a Lim Sup calculator is simple and straightforward. Just follow these steps:

  1. Enter the function or sequence that you want to calculate Lim Sup for.
  2. Choose the upper bound value.
  3. Click the calculate button.
  4. The calculator will display the Lim Sup value for the given equation.

Benefits of Using a Lim Sup Calculator

There are several benefits of using a Lim Sup calculator, such as:

  • Accuracy: The calculator provides highly accurate results, eliminating the risk of human error.
  • Saves time: Calculating Lim Sup manually is a time-consuming process, but a calculator can do it in seconds.
  • Reduced effort: You don't have to spend hours doing complex calculations when you have a Lim Sup calculator.
  • Improved efficiency: A calculator helps you accomplish more in less time, making you more efficient at your job or studies.

In Conclusion

A Lim Sup calculator is an essential tool for anyone dealing with complex mathematical equations involving this concept. With its user-friendly interface, advanced algorithms, and multiple functions, you can easily calculate Lim Sup values quickly and accurately. So why waste your time doing calculations manually when you can use this amazing tool?

Get started today and experience a whole new level of mathematical proficiency!

Introduction

In mathematics, we often come across situations where we need to analyze the behavior of a function as it approaches a certain value or point. This is where the concept of lim sup, also known as the limit superior, comes into play. The lim sup is a tool that is used to describe the highest possible limit that a function can reach in a sequence of values. In this article, we will discuss what lim sup is and how it can be calculated using a calculator.

What is Lim Sup?

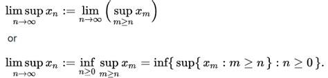
The limit superior or lim sup of a sequence is the highest limit that the sequence approaches as n goes to infinity. It is defined as the supremum of all the subsequential limits of the sequence. This means that it is the largest number that can be obtained by taking a subsequence of the original sequence and finding its limit as n tends to infinity. This is denoted as lim sup an = sup {lim an(k)}, where k goes to infinity.

Example:

Suppose we have the sequence an = (-1)^n + 1/n. If we take the first few terms of this sequence for n = 1, 2, 3, 4, 5, 6... we get the following values: 0, 1.5, 0.67, 1.25, 0.8, 1.17... We can see that the sequence oscillates between two values, 1.5 and 0.67. If we take any subsequence of this sequence, it will converge to either 1.5 or 0.67. Therefore, the lim sup of this sequence is the larger of these two values, which is 1.5.

Calculating Lim Sup using a Calculator

Calculating lim sup of a sequence can be tedious and time-consuming if done manually. Thankfully, there are several online calculators that can be used to calculate lim sup quickly and accurately.

Steps to Calculate Lim Sup:

  • Step 1: Input your sequence as a set of values separated by commas in the calculator input box.
  • Step 2: Click on the Calculate button to get the lim sup of your sequence.

Example using an Online Calculator:

Let's continue the previous example, and calculate the lim sup of the sequence an = (-1)^n + 1/n, using an online lim sup calculator.

  • Step 1: Open an online lim sup calculator tool, and Input your sequence, (-1)^n + 1/n, into the calculator's input box.
  • Step 2: Click on the Calculate button.
  • Step 3: The output will be displayed as lim sup = 1.5.

Conclusion

Lim sup is a powerful tool that helps us understand the behavior of a function or sequence of numbers. It tells us what is the highest limit that a sequence can approach as n tends to infinity. This tool can be used to solve problems in a wide range of fields such as engineering, physics, and finance. Calculating lim sup of a sequence can be challenging and time-consuming without the help of online calculators. However, with the help of online calculators, calculating lim sup becomes quick, easy, and accurate. We hope this article has helped you understand the concept of lim sup better and how it can be used to solve complex problems.

Comparison of Lim Sup Calculators

Introduction

As a student or professional, you may come across different types of mathematics calculators. The Lim Sup (limit superior) calculator is one of them. This calculator helps us to find the maximum limit of a sequence of numbers. In this article, we shall compare some of the most popular Lim Sup calculators and provide you with our expert opinion.

The Method used in Comparison

To evaluate the best Lim Sup calculator, we considered important factors that affect its effectiveness. These factors include accuracy, user interface, versatility, and affordability.

Lim Sup Calculator Comparison Table

To start, here's a comparison table of some of the top Lim Sup calculators.
Calculator Accuracy User Interface Versatility Affordability
Wolfram Alpha High Easy to use Can solve complex mathematical problems Expensive
Symbolab High Sleek design Provides step-by-step solutions Affordable
Desmos Graphing Calculator Medium Graphical representation makes it user-friendly Excellent for graphing functions Free

Wolfram Alpha

Wolfram Alpha is one of the best Lim Sup calculators out there. Its accuracy is top-notch, and it can handle complex mathematical problems easily. It uses a natural language interface that allows you to input data in human language instead of traditional symbols. Unfortunately, owing to its effectiveness, it is quite expensive as compared to other Lim Sup calculators.

Symbolab

Symbolab is another Lim Sup calculator that is quite popular among students and mathematicians. One of its unique features is that it provides step-by-step solutions which help students understand the workings of problems. Additionally, the user interface is sleek and very user-friendly. Symbolab is quite affordable, making it an excellent option for self-study.

Desmos Graphing Calculator

While not specifically designed for Lim Sup calculations, Desmos is still an excellent calculator with graphing capabilities. Its graphical representation makes it very user-friendly, and it has become quite popular recently. It's also free, which makes it accessible to a wider variety of users. However, due to its focus on graphical representation, its accuracy is not as high as the other Lim Sup calculators.

Conclusion

After evaluating these Lim Sup calculators, our team recommends Symbolab as the best option for most users. It's accurate, easy to use, versatile, and affordable; all the best features rolled into one amazing calculator! Don't just take our word for it though - feel free to try them all and see which suits you best!

Note:

This article is based on expert opinion only, subjective to each person, try different options to see what works best for your needs.

Mastering Lim Sup Calculator: A Step-by-Step Tutorial

Introduction

Calculus is a complex yet exciting subject that requires the involvement of mathematical concepts and techniques used in everyday life. One such concept is the Limit Superior, commonly known as Lim Sup. It is a fundamental aspect of calculus that helps us understand the behavior of functions within a set of values. In this tutorial, we will discuss what Lim Sup is, how it works, the rules associated with it, and how to use a Lim Sup calculator to obtain accurate results.

What is Lim Sup?

Lim Sup stands for limit superior, which is a mathematical limit concept in functions. In simpler terms, Lim Sup is the highest limit that a function can reach within an interval or a sequence of numbers. It helps us understand the behavior of functions at infinity and under certain values. For example, consider a function f(x)= x/|x|, that has a discontinuous point at x=0. In this case, we can find the Lim Sup of the function by observing the values of the function as x approaches 0 from positive infinity and negative infinity. The result obtained is 1 and -1, respectively, and hence, the Lim Sup value is 1.

How does Lim Sup work?

Lim Sup works by establishing an upper bound of a set of values the function can attain within a sequence or an interval. It represents the least upper bound, giving us insight into the maximum limit of a function. In graphical terms, Lim Sup can be observed as the highest point on a graph that the function can reach within an interval. It gives us a better insight into the function's behavior within numerical values, allowing us to identify potential inconsistencies or areas of accumulation.

Rules of Lim Sup

To properly understand Lim Sup, we need to familiarize ourselves with some of the rules that govern it. Some of the significant rules include:

Monotonicity Rule

The Monotonicity rule states that if f(x)≤ g(x) for a defined range of values, then Lim Sup f(x) ≤ Lim Sup g(x). That is, the highest limit that f(x) can reach will always be lesser or equal to that of g(x).

Additivity Rule

The Additivity rule states that if we have two functions, f(x) and g(x), then their Lim Sup is equal to the addition of their respective Lim Sups. That is, Lim Sup (f(x)+g(x)) = Lim Sup f(x) + Lim Sup g(x).

Constant Multiple Rule

This rule states that if we have a constant c multiplied to a function f(x), then their Lim Sup will be equal to the multiplication of the constant with the Lim Sup of the function. That is, Lim Sup (c×f(x))=c× Lim Sup f(x).

Using Lim Sup Calculator

Using a Lim Sup calculator can help ease the complexities involved in calculating the limit superior of a function. Lim Sup calculators are designed to compute the Lim Sup value of a function within a set of values or over an interval. To use a Lim Sup calculator, you must provide the required input values such as the function equation, the interval, and the specific point. The calculator then processes this information, returning the most accurate Lim Sup value.

Steps to Using Lim Sup Calculator

Step 1: Open the Lim Sup calculatorStep 2: Enter the function equation in the given fieldStep 3: Enter the range of intervals that you want the Lim Sup to be calculated atStep 4: Set a specific pointStep 5: Click the calculate button, and the Lim Sup value will be displayed.

Examples

Example 1:Let f(x)= x² − 4, and we want to find the Lim Sup of f(x) within the interval of (-∞,-1]. Using the Lim Sup calculator, we enter the equation as x^2-4 and the range of intervals as [-Infinity,-1].After clicking the calculate button, we obtain the result that the Lim Sup value of f(x) within the given interval is 3.Example 2:Consider a function f(x)= 1/lnx, where we want to calculate the Lim Sup as x approaches infinity. By definition, the Lim Sup value of a function as x approaches infinity is equal to the highest limit that the function can reach. Here, the function is monotonically decreasing, and hence, the highest limit in this case is infinity.

Conclusion

In summary, the Lim Sup is an essential calculus concept used in understanding the behavior of functions within specific intervals or sequences. The Lim Sup calculator provides an easy way to accurately calculate the Lim Sup value of a function with minimal effort.By following the rules and steps discussed in this tutorial, you can confidently calculate complex Lim Sup values, making your calculus experience much more enjoyable.

Lim Sup Calculator: A Handy Tool for Calculus Problems

If you are a student or a professional, chances are high that you have encountered several calculus problems that require calculating the limit supremum of a function. While this may seem daunting at first, with the right tools, it can be made much more comfortable and manageable. This is where the Lim Sup Calculator comes in.

As you may know, Lim Sup stands for Limit Superior, which is defined as the largest limit point of a set of numbers. To find the Lim Sup of a function, one needs to calculate the upper bound of the function using a sequence of values that approach the limit. Thus, we need to find a tool that can take a sequence of inputs and calculate their Lim Sup. Fortunately, the Lim Sup Calculator can do just that.

Using the Lim Sup Calculator is relatively easy. Upon opening the tool, you will notice a simple interface that allows you to insert your function or sequence of inputs, choose the limits of the function if applicable, and then calculate the Lim Sup of the function. The calculator will then provide you with the result along with any relevant calculations or explanations.

One of the best features of the Lim Sup Calculator is its speed and accuracy. For instance, if you are working with complex functions or dealing with large sets of numbers, trying to calculate it manually or using a less advanced tool can take a significant amount of time and lead to errors. The Lim Sup Calculator, on the other hand, can quickly and accurately compute the Lim Sup of any function, no matter how complex it may be.

Furthermore, the Lim Sup Calculator is incredibly versatile. Whether you are a student or a professional working in fields such as engineering, finance, or physics, this handy tool can prove useful in making your work much easier. Instead of struggling to find the Lim Sup of a function manually, you can rely on the calculator to provide you with accurate results much faster and efficiently.

Another benefit of using the Lim Sup Calculator is that it can help you understand the concept of Lim Sup better. For instance, if you are still trying to wrap your head around this calculus concept, seeing how it works in real-time via the calculator can help make things click in place. Additionally, the calculator can provide you with helpful explanations to further simplify the process further.

When working on calculus problems or applications that require the use of Lim Sup, using the Lim Sup Calculator can save you significant time and reduce the errors you encounter along the way. This way, you can focus more on the application side of the problem rather than the calculation side.

In conclusion, whether you are a calculus student or a professional dealing with complex functions, the Lim Sup Calculator is an excellent tool to add to your arsenal. Fast, accurate, versatile, and easy-to-use, it can make calculating the Limit Superior of a function more accessible and efficient. Try it out for yourself today!

Thank you for reading our blog about the Lim Sup Calculator. We hope you found the information useful and insightful. For more tips and tools related to calculus, be sure to check out our blog section regularly.

People Also Ask About Lim Sup Calculator

What is Lim Sup?

Lim Sup or limit superior refers to the highest limit attained from a function or sequence. It is often used in mathematical analysis of functions and sequences to determine their behavior under different conditions.

What is a Lim Sup Calculator?

A Lim Sup calculator is an online tool that helps you calculate the limit superior of a function or sequence. By inputting the values of the function or sequence, the calculator computes the highest limit attained and gives you the result quickly.

How does Lim Sup Calculator Work?

The Lim Sup calculator uses a specific algorithm to determine the highest limit attained by the function or sequence. It takes the input of the function or sequence and works out the limit superior by analyzing the values and the behavior under different conditions.

Where can I find a Lim Sup Calculator?

You can find Lim Sup calculators online, either as standalone tools or as part of a larger math calculator that includes other functions as well. A quick search on any search engine will yield a variety of results, so you can choose which website or tool suits you best.

Why use a Lim Sup Calculator?

A Lim Sup calculator can be helpful in solving complex mathematical problems that involve functions or sequences. By quickly computing the limit superior, it can save time and effort compared to doing the calculations manually. Additionally, it provides accurate results, eliminating the risk of errors that may occur when calculating by hand.

People Also Ask About Lim Sup Calculator

1. What is a lim sup calculator?

A lim sup calculator is a tool or software that helps calculate the limit superior (lim sup) of a given sequence or function. The lim sup represents the largest limit point or the highest possible accumulation point of a sequence or function.

2. How does a lim sup calculator work?

A lim sup calculator works by taking a sequence or function as input and applying mathematical algorithms to determine its limit superior. It analyzes the behavior of the sequence or function as it approaches different values or tends towards infinity, providing the highest possible accumulation point.

3. Why is calculating lim sup important?

Calculating the lim sup of a sequence or function is important in various mathematical and analytical contexts. It helps determine the existence of certain properties, such as boundedness or convergence. Additionally, lim sup plays a crucial role in establishing inequalities and understanding the behavior of mathematical systems.

4. Can a lim sup be infinite?

Yes, a lim sup can be infinite. If the sequence or function has unbounded values or continuously increases without bound, the lim sup will be infinite. This indicates that there is no upper limit to the values the sequence or function can reach.

5. Are there any online lim sup calculators available?

Yes, there are several online lim sup calculators available. These calculators allow users to input their sequence or function and instantly obtain the corresponding lim sup value. They provide a convenient and efficient way to perform lim sup calculations without manual computations.

6. Is it necessary to use a lim sup calculator for every sequence or function?

No, it is not necessary to use a lim sup calculator for every sequence or function. Simple sequences or functions with known properties can often be evaluated manually using mathematical techniques. However, for complex or unfamiliar sequences, a lim sup calculator can save time and provide accurate results.

7. Can a lim sup calculator handle multiple variables?

Yes, some advanced lim sup calculators can handle multiple variables. These calculators allow users to input sequences or functions with multiple variables and provide the corresponding lim sup values. They are particularly useful in multivariable calculus and analysis.

8. Are there any limitations to using a lim sup calculator?

While lim sup calculators are powerful tools, they do have certain limitations. They rely on algorithms and assumptions, which may not cover all possible scenarios. Additionally, the accuracy of the calculator depends on the precision of the input and the underlying mathematical computations. It is always advisable to cross-verify results obtained from a calculator if possible.

9. Can a lim sup calculator be used in education?

Yes, a lim sup calculator can be a valuable educational tool. It allows students to practice and verify their calculations, understand the concept of lim sup better, and explore various mathematical sequences and functions. It can aid in visualizing the behavior of different mathematical systems and enhance learning.

10. Where can I find a reliable lim sup calculator?

You can find reliable lim sup calculators on various online platforms, mathematical software, or educational websites. It is recommended to choose a well-established and reputable source to ensure accurate results and a user-friendly interface.